Más de 25 millones sin rastro en ayuntamiento de Centro.

0
49

El OSFE detecta daño económico por 25 millones 298 mil pesos en el Ayuntamiento de Centro bajo la gestión de Yolanda Osuna Huerta.

Villahermosa, Tabasco.— El Órgano Superior de Fiscalización del Estado (OSFE) reveló en su informe de resultados del ejercicio 2024 una serie de irregularidades financieras y administrativas en el Ayuntamiento de Centro que, en conjunto, representan un daño económico estimado en 25 millones 298 mil pesos. Las observaciones apuntan a pagos sin justificación documental, contratos irregulares, adquisiciones sin comprobación de uso y servicios inexistentes, todos bajo la administración de la alcaldesa Yolanda Osuna Huerta.

De acuerdo con el informe, las anomalías detectadas abarcan obras públicas, servicios generales, asesorías, combustibles, restauración de patrimonio, programas sociales y mantenimiento urbano, evidenciando un patrón de deficiente control interno y presunto uso indebido de recursos públicos.

Obras sin bitácoras ni pruebas de ejecución

El OSFE señala que durante 2024 se realizaron diversos pagos por más de 4 millones de pesos relacionados con la compra de emulsión, mezcla y sello 3A para el mantenimiento de calles y avenidas. Sin embargo, los expedientes carecen de bitácoras, croquis, álbumes fotográficos y pruebas de laboratorio que acrediten el uso real de los materiales adquiridos.

La falta de documentación técnica invalida la comprobación del gasto, por lo que se presume que los recursos fueron erogados sin evidencia física del servicio o material utilizado.

Asesorías duplicadas y sin autorización legal

El informe también documenta pagos indebidos por 374 mil 960 pesos en asesorías contratadas para la operación de programas de la Contraloría Municipal. Según el OSFE, las actividades realizadas por los despachos externos duplican funciones propias del personal del Ayuntamiento, lo que contraviene la Ley Orgánica de los Municipios del Estado de Tabasco.

El órgano fiscalizador destacó que no existió autorización legal para contratar servicios de apoyo en funciones exclusivas de control interno, lo que configura un gasto sin justificación normativa.

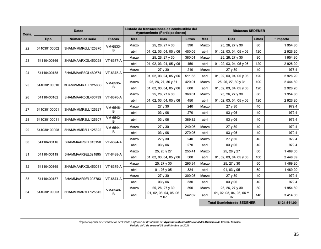
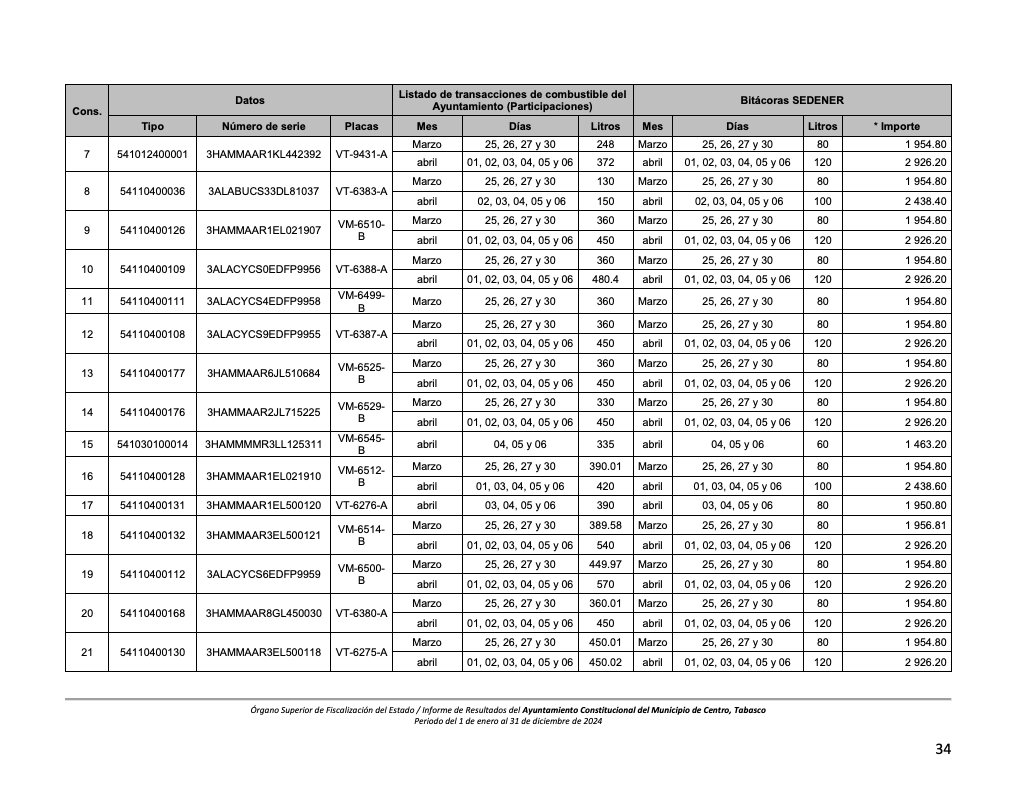
Combustible para vehículos inactivos

Una de las observaciones más llamativas se relaciona con el suministro de combustible y refacciones a vehículos sin funcionamiento, lo que representó un daño por más de 325 mil pesos.

De acuerdo con la verificación física del parque vehicular, una unidad marca International con número de serie 3HJFG8JM0KSS14824 se encuentra fuera de operación desde 2023, pero durante 2024 recibió combustible y refacciones.

Además, se detectaron dotaciones duplicadas de diésel a camiones recolectores en las mismas fechas y con características idénticas, lo que evidencia un posible desvío o simulación de consumo.

Licitación bajo sospecha y empresas vinculadas

En el proceso licitatorio No. 5627A041-005-2024, el OSFE detectó conflicto de interés entre los licitantes Diana Citlali Ricco Macedo y Bache Mix S.A. de C.V., pues en la propuesta técnica de la primera se identificó el uso de materiales de la marca de la segunda. A pesar de ello, ambos fueron adjudicados en el proceso.

Durante la verificación física, se constató que el domicilio registrado por uno de los proveedores estaba deshabitado, lo que refuerza las sospechas de empresas fantasma o prestanombres.

Material eléctrico y mantenimiento inexistente

Se documentaron compras de material eléctrico por 2 millones 934 mil pesos para la Subdirección de Alumbrado Público, sin evidencias que acrediten la utilización del material.

Asimismo, un contrato por 1 millón 604 mil pesos para mantenimiento de equipos carece de entregables, reportes técnicos y comprobantes de servicio, lo que llevó al OSFE a considerar el gasto como daño patrimonial directo.

Programas sociales incumplidos

El informe advierte también sobre 802 mil 564 pesos del programa “Suministro de redes para la pesca”, de los cuales 323 paquetes de apoyo siguen almacenados en el centro acuícola municipal, sin llegar a los beneficiarios.

El OSFE concluye que el programa no se ejecutó de manera eficiente ni oportuna, afectando la finalidad social de los recursos.

Pagos de ejercicios anteriores y contratos irregulares

Otra observación relevante apunta al Despacho Nieto S.C., que recibió 5 millones 860 mil pesos por la elaboración de expedientes especiales de obras de 2023, pese a que fueron pagados con recursos del ejercicio 2024, lo que contraviene la normatividad presupuestal.

Igualmente, el Ayuntamiento pagó 1 millón 466 mil pesos por trabajos de jardinería y mantenimiento en espacios públicos sin evidencias fotográficas o informes técnicos que acreditaran los servicios realizados.

Restauración artística con inconsistencias

El OSFE reporta irregularidades en contratos por la restauración de murales y esculturas, como “La Gran Ceiba”, “Hoy Llueve” y la escultura “Clave Morada”.
En este último caso, por 2 millones 560 mil pesos, se determinó que los gastos por restauración del entorno urbano no estaban autorizados dentro del convenio de colaboración entre la Secretaría de Hacienda y el Ayuntamiento. Además, las facturas carecen de detalle unitario de materiales y mano de obra, lo que impide verificar su autenticidad.

Personal sin título y asesores con privilegios

El informe también detectó pagos indebidos por 136 mil pesos a personal contratado como profesionistas sin contar con título profesional.

De igual forma, se efectuaron pagos por 1 millón 093 mil pesos en prestaciones ordinarias y extraordinarias a diez asesores, violando los principios de racionalidad y austeridad en el gasto público.

Un patrón de opacidad y mala administración

En conjunto, las observaciones del OSFE suman 25 millones 298 mil pesos en posibles daños a la Hacienda Pública Municipal, lo que representa uno de los reportes más severos en la gestión de Yolanda Osuna Huerta.

El órgano fiscalizador concluyó que el Ayuntamiento de Centro incumplió con los principios de transparencia, eficiencia y legalidad, dejando un rastro de pagos sin comprobación, contratos dudosos y recursos desviados de su objetivo original.

El informe será turnado a la Comisión Inspectora de Hacienda del Congreso del Estado, que determinará las acciones administrativas o legales correspondientes. Mientras tanto, los hallazgos del OSFE colocan a la administración municipal bajo el escrutinio público y financiero, en un contexto donde la rendición de cuentas se convierte en exigencia ciudadana.

DEJA UNA RESPUESTA

Por favor ingrese su comentario!
Por favor ingrese su nombre aquí